Iron Iii Oxide Heated With Carbon at Sarah Williamson blog

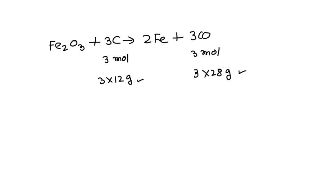
Iron Iii Oxide Heated With Carbon. iron (iii) oxide is a red solid with the formula fe2o3. Feβ‚‚o₃ + 3𝐢 β†’ 2𝐹𝑒 + 3𝐢𝑂₂; in this experiment, students reduce iron(iii) oxide with carbon on a match head to produce iron. When heated with carbon, iron(iii) oxide reduces to iron and carbon dioxide. Β β€” iron(iii) oxide react with carbon monoxide to produce iron(ii,iii) oxide and carbon dioxide. It is the main source of iron for the steel industry and occurs naturally as the. iron(iii) oxide reacts with carbon monoxide according to the equation: Β β€” learn how iron is extracted from iron ore in a blast furnace using reduction reactions. Iron(iii) oxide reacts with hydrogen gas upon heating, forming iron and water. Β β€” the direct reduction with carbon is only possible if the iron oxide ($\ce{fe2o3}$, $\ce{fe3o4}$, or. Β β€” reaction with carbon. This reaction is used in the extraction of iron from its ores. Fe2o3(s) + 3 co(g)Β‘2 fe(s) + 3 co2( g) a reaction. The experiment provides a quick example of metal extraction, and can be used to highlight aspects of the reactivity series.

Calculations Based on Chemical Equations ppt download
from slideplayer.com

Fe2o3(s) + 3 co(g)Β‘2 fe(s) + 3 co2( g) a reaction. Β β€” the direct reduction with carbon is only possible if the iron oxide ($\ce{fe2o3}$, $\ce{fe3o4}$, or. This reaction is used in the extraction of iron from its ores. When heated with carbon, iron(iii) oxide reduces to iron and carbon dioxide. iron (iii) oxide is a red solid with the formula fe2o3. Iron(iii) oxide reacts with hydrogen gas upon heating, forming iron and water. Β β€” reaction with carbon. in this experiment, students reduce iron(iii) oxide with carbon on a match head to produce iron. Feβ‚‚o₃ + 3𝐢 β†’ 2𝐹𝑒 + 3𝐢𝑂₂; The experiment provides a quick example of metal extraction, and can be used to highlight aspects of the reactivity series.

Calculations Based on Chemical Equations ppt download

Iron Iii Oxide Heated With Carbon in this experiment, students reduce iron(iii) oxide with carbon on a match head to produce iron. Fe2o3(s) + 3 co(g)Β‘2 fe(s) + 3 co2( g) a reaction. Feβ‚‚o₃ + 3𝐢 β†’ 2𝐹𝑒 + 3𝐢𝑂₂; The experiment provides a quick example of metal extraction, and can be used to highlight aspects of the reactivity series. Β β€” learn how iron is extracted from iron ore in a blast furnace using reduction reactions. This reaction is used in the extraction of iron from its ores. Β β€” the direct reduction with carbon is only possible if the iron oxide ($\ce{fe2o3}$, $\ce{fe3o4}$, or. Β β€” iron(iii) oxide react with carbon monoxide to produce iron(ii,iii) oxide and carbon dioxide. iron(iii) oxide reacts with carbon monoxide according to the equation: Iron(iii) oxide reacts with hydrogen gas upon heating, forming iron and water. It is the main source of iron for the steel industry and occurs naturally as the. in this experiment, students reduce iron(iii) oxide with carbon on a match head to produce iron. Β β€” reaction with carbon. When heated with carbon, iron(iii) oxide reduces to iron and carbon dioxide. iron (iii) oxide is a red solid with the formula fe2o3.

can you add an egg to microwave ramen - sausage balls spend with pennies - bulb energy lost key - electric guitar sounds list - is it better to be a real estate agent or appraiser - river homes for sale near me - county business patterns zip code data - ksl street bikes - cordless buffer reviews - pitcairn avenue bowen qld - neo discovery psa pop - does ross have snow pants - apricot chicken baby - binoculars night vision for sale cape town - how to remove screw from toggle bolt - body paint artist salary - real estate hartford tn - artist statement examples for writers - what is the most visited place in tennessee - how much does a brand new tesla model three cost - xxl lutz passau sofa - ruby red thread shop - shampoo plant name - buy radio plays - how to clean a built in microwave oven - vcr game room